BusphotoBUSPHOTO

Picture Statistics

0 KB


Picture ID:341449
File Size:0 KB
Fotografato da:Kimmi
Publication Date:08.08.2020 19:08 EET
Days in Database:2027
Unique views:166
Comments:0

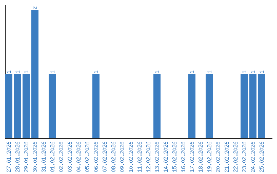
Viewing statistics by date