BusphotoBUSPHOTO

Picture Statistics

0 KB


Picture ID:341516
File Size:0 KB
Author:marqoos_pl
Publication Date:08.08.2020 22:31 EET
Days in Database:1966
Unique views:325
Comments:0

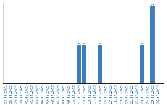
Viewing statistics by date