BusphotoBUSPHOTO

Picture Statistics

0 KB


Picture ID:341592
File Size:0 KB
Author:Neons
Publication Date:09.08.2020 11:18 EET
Days in Database:1965
Unique views:409
Comments:0

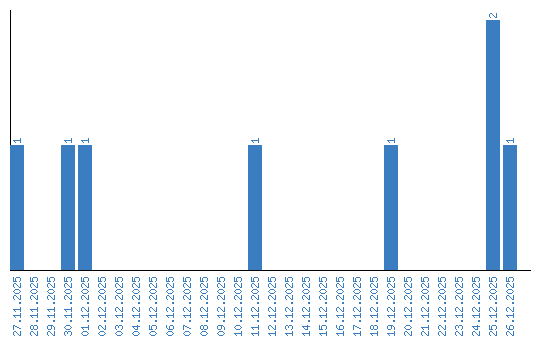
Viewing statistics by date