BusphotoBUSPHOTO

Picture Statistics

0 KB


Picture ID:344117
File Size:0 KB
Fotografato da:OnniL
Publication Date:26.08.2020 20:58 EET
Days in Database:1948
Unique views:323
Comments:0

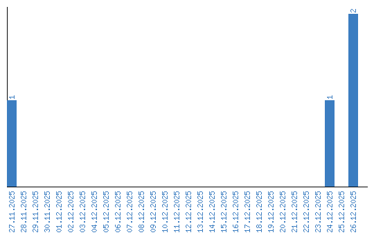
Viewing statistics by date