BusphotoBUSPHOTO

Picture Statistics

0 KB


Picture ID:344496
File Size:0 KB
Author:Stephan Günther
Publication Date:29.08.2020 09:35 EET
Days in Database:1952
Unique views:368
Comments:0

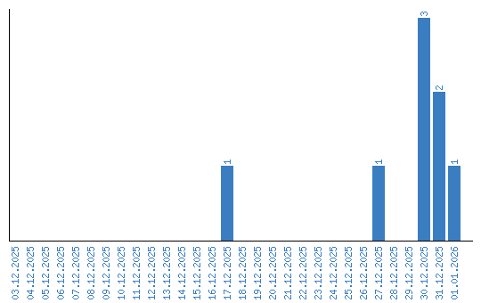
Viewing statistics by date