BusphotoBUSPHOTO

Picture Statistics

0 KB


Picture ID:344750
File Size:0 KB
Author:S. Franke
Publication Date:30.08.2020 15:01 EET
Days in Database:2005
Unique views:359
Comments:0

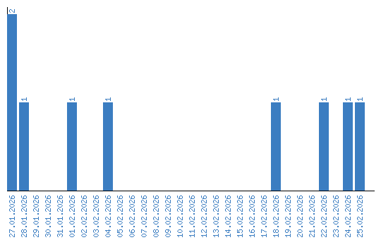
Viewing statistics by date