BusfotoBUSFOTO

Bildinformationen

0 KB


Foto-ID:345050
Dateigröße:0 KB
Aufgenommen von:Bussmicke
Veröffentlicht am:01.09.2020 13:24 EET
Tage seit Veröffentlichung:1993
Aufrufe:203
Kommentare:0

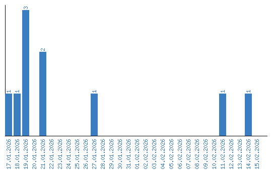
Aufrufestatistik (Tage)