BusphotoBUSPHOTO

Picture Statistics

0 KB


Picture ID:346300
File Size:0 KB
Author:Valius Kedainietis
Publication Date:11.09.2020 08:20 EET
Days in Database:1980
Unique views:398
Comments:0

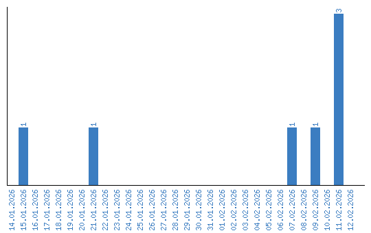
Viewing statistics by date