BusphotoBUSPHOTO

Picture Statistics

317 KB


Picture ID:34651
File Size:317 KB
Author:robcar
Publication Date:19.04.2012 10:51 EET
Days in Database:5046
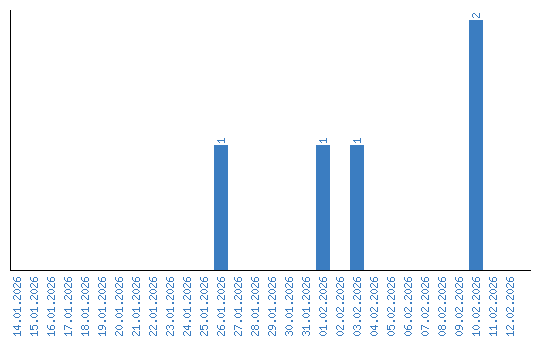
Unique views:133
Comments:0

Viewing statistics by date