BusfotoBUSFOTO

Bildinformationen

0 KB


Foto-ID:347826
Dateigröße:0 KB
Aufgenommen von:Der Zugchef
Veröffentlicht am:24.09.2020 12:08 EET
Tage seit Veröffentlichung:1921
Aufrufe:248
Kommentare:0

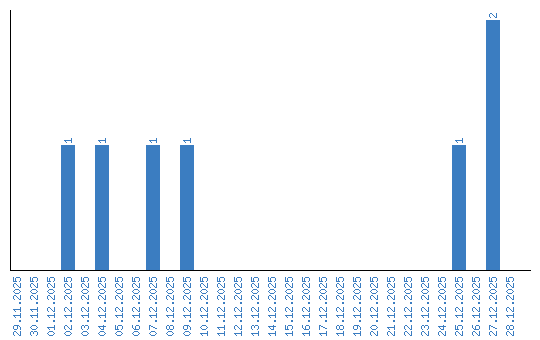
Aufrufestatistik (Tage)