BusphotoBUSPHOTO

Picture Statistics

0 KB


Picture ID:348143
File Size:0 KB
Author:ToBen
Publication Date:26.09.2020 21:41 EET
Days in Database:1917
Unique views:193
Comments:0

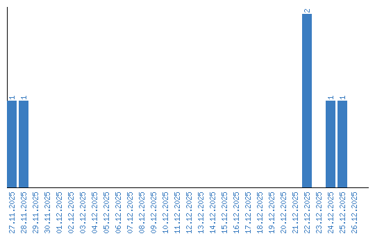
Viewing statistics by date