BusphotoBUSPHOTO

Informatsioon foto kohta

0 KB


Pildi ID:348507
Faili suurus:0 KB
Autor:Grænselandets Busser
Avaldatud:29.09.2020 13:53 EET
Päevi saidil:1968
Unikaalseid vaatamisi:331
Kommentaare:0

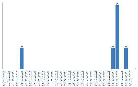
Vaatamiste statistika kuupäeviti