BusphotoBUSPHOTO

Picture Statistics

0 KB


Picture ID:349051
File Size:0 KB
Author:olegp
Publication Date:02.10.2020 22:21 EET
Days in Database:1914
Unique views:187
Comments:0

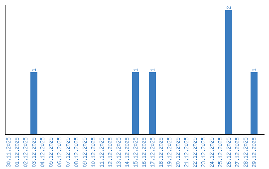
Viewing statistics by date