BusphotoBUSPHOTO

Picture Statistics

0 KB


Picture ID:349388
File Size:0 KB
Author:Kimmi
Publication Date:04.10.2020 19:29 EET
Days in Database:1957
Unique views:349
Comments:0

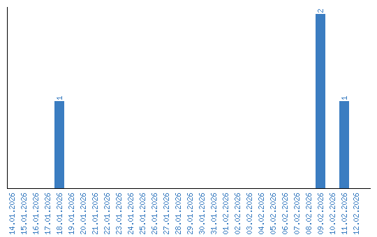
Viewing statistics by date