BusphotoBUSPHOTO

Picture Statistics

0 KB


Picture ID:349496
File Size:0 KB
Fotografato da:Vojtěch Minařík
Publication Date:05.10.2020 13:36 EET
Days in Database:1944
Unique views:209
Comments:0

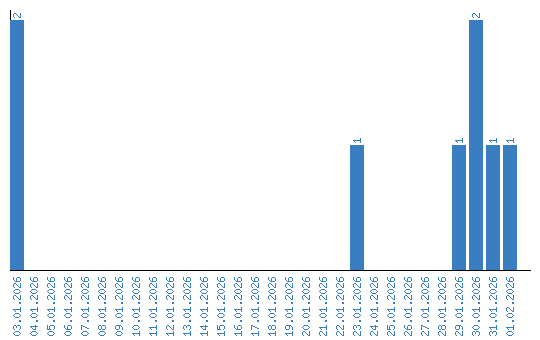
Viewing statistics by date