BusphotoBUSPHOTO

Picture Statistics

0 KB


Picture ID:350271
File Size:0 KB
Author:ToBen
Publication Date:10.10.2020 19:35 EET
Days in Database:1902
Unique views:394
Comments:0

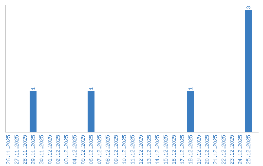
Viewing statistics by date