BusphotoBUSPHOTO

Picture Statistics

0 KB


Picture ID:352179
File Size:0 KB
Fotografato da:Brandenburger
Publication Date:23.10.2020 08:13 EET
Days in Database:1889
Unique views:388
Comments:0

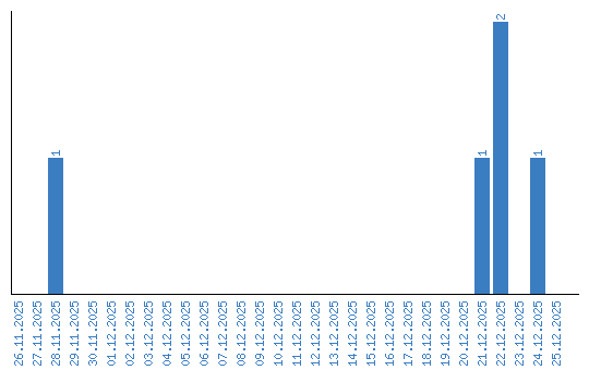
Viewing statistics by date