BusphotoBUSPHOTO

Picture Statistics

0 KB


Picture ID:353320
File Size:0 KB
Author:Shaider
Publication Date:31.10.2020 12:49 EET
Days in Database:1883
Unique views:257
Comments:0

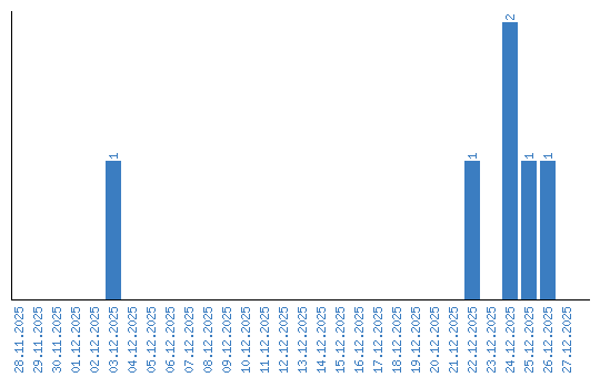
Viewing statistics by date