BusphotoBUSPHOTO

Picture Statistics

0 KB


Picture ID:353840
File Size:0 KB
Author:Metropolitan456
Publication Date:02.11.2020 23:22 EET
Days in Database:1895
Unique views:365
Comments:0

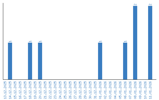
Viewing statistics by date