BusphotoBUSPHOTO

Picture Statistics

0 KB


Picture ID:353915
File Size:0 KB
Author:OnniL
Publication Date:03.11.2020 19:02 EET
Days in Database:1914
Unique views:366
Comments:0

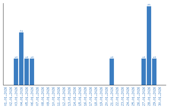
Viewing statistics by date