BusphotoBUSPHOTO

Picture Statistics

0 KB


Picture ID:354290
File Size:0 KB
Fotografato da:Артём Дмитренко
Publication Date:05.11.2020 22:06 EET
Days in Database:1912
Unique views:177
Comments:0

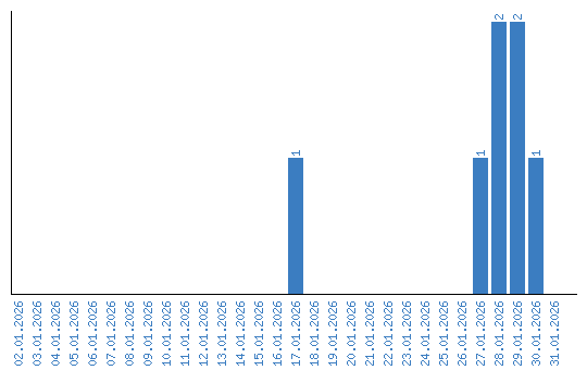
Viewing statistics by date