BusphotoBUSPHOTO

Picture Statistics

0 KB


Picture ID:354631
File Size:0 KB
Author:Adryian
Publication Date:08.11.2020 09:01 EET
Days in Database:1939
Unique views:339
Comments:0

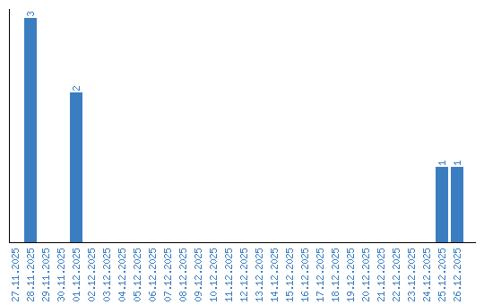
Viewing statistics by date