BusphotoBUSPHOTO

Picture Statistics

0 KB


Picture ID:355779
File Size:0 KB
Author:Kimmi
Publication Date:14.11.2020 22:09 EET
Days in Database:1903
Unique views:238
Comments:0

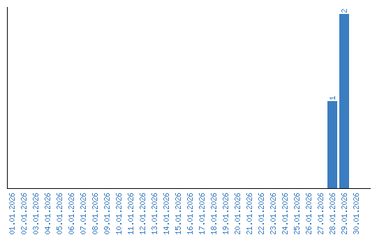
Viewing statistics by date