BusphotoBUSPHOTO

Picture Statistics

0 KB


Picture ID:356042
File Size:0 KB
Author:ToBen
Publication Date:16.11.2020 11:35 EET
Days in Database:1899
Unique views:257
Comments:0

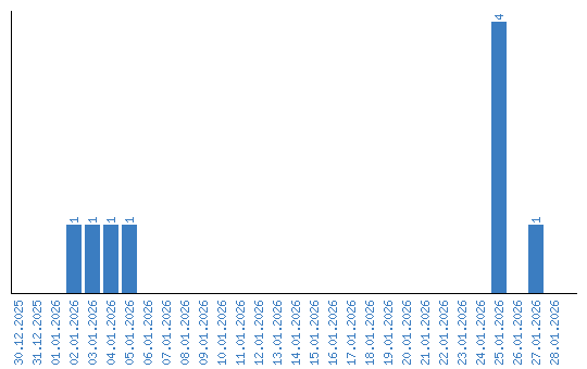
Viewing statistics by date