BusphotoBUSPHOTO

Picture Statistics

0 KB


Picture ID:357099
File Size:0 KB
Author:Димар Техзвуков
Publication Date:23.11.2020 18:45 EET
Days in Database:1907
Unique views:122
Comments:0

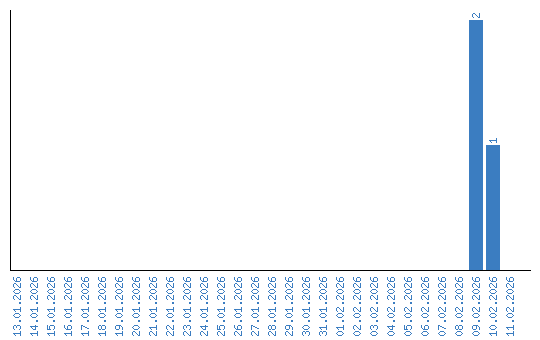
Viewing statistics by date