BusphotoBUSPHOTO

Picture Statistics

0 KB


Picture ID:358085
File Size:0 KB
Author:l-nv.info
Publication Date:29.11.2020 16:23 EET
Days in Database:1852
Unique views:337
Comments:0

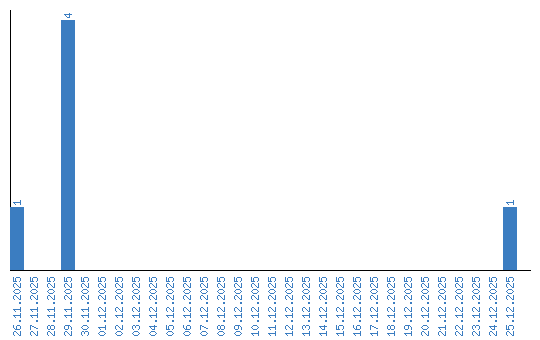
Viewing statistics by date