BusphotoBUSPHOTO

Picture Statistics

0 KB


Picture ID:358412
File Size:0 KB
Author:olegp
Publication Date:01.12.2020 21:02 EET
Days in Database:1851
Unique views:221
Comments:0

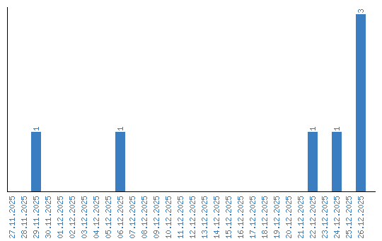
Viewing statistics by date