BusphotoBUSPHOTO

Picture Statistics

0 KB


Picture ID:359380
File Size:0 KB
Author:Valius Kedainietis
Publication Date:08.12.2020 03:29 EET
Days in Database:1844
Unique views:292
Comments:0

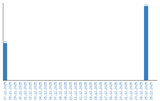
Viewing statistics by date