BusphotoBUSPHOTO

Picture Statistics

0 KB


Picture ID:360667
File Size:0 KB
Author:OnniL
Publication Date:18.12.2020 16:15 EET
Days in Database:1881
Unique views:323
Comments:0

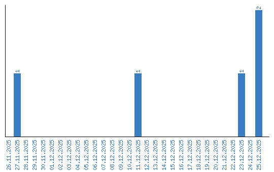
Viewing statistics by date