BusphotoBUSPHOTO

Picture Statistics

0 KB


Picture ID:362975
File Size:0 KB
Author:Bussmicke
Publication Date:02.01.2021 19:44 EET
Days in Database:1875
Unique views:253
Comments:0

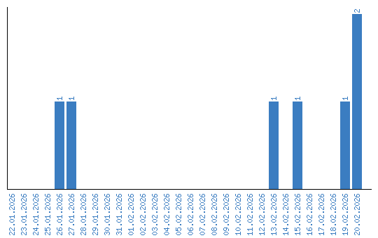
Viewing statistics by date