BusphotoBUSPHOTO

Picture Statistics

0 KB


Picture ID:362999
File Size:0 KB
Author:Kimmi
Publication Date:02.01.2021 21:23 EET
Days in Database:1818
Unique views:203
Comments:0

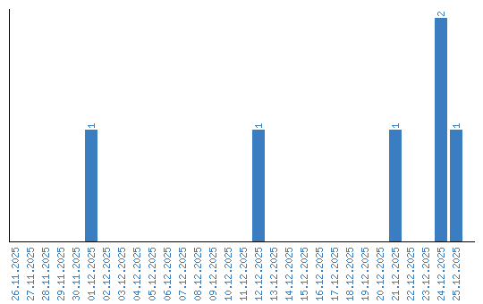
Viewing statistics by date