BusphotoBUSPHOTO

Informatsioon foto kohta

0 KB


Pildi ID:363962
Faili suurus:0 KB
Saatis:IKS
Avaldatud:07.01.2021 23:43 EET
Päevi saidil:1814
Unikaalseid vaatamisi:242
Kommentaare:0

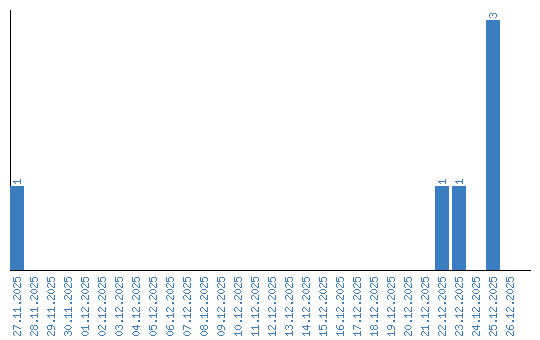
Vaatamiste statistika kuupäeviti