BusphotoBUSPHOTO

Picture Statistics

0 KB


Picture ID:366242
File Size:0 KB
Fotografato da:Neons
Publication Date:21.01.2021 08:02 EET
Days in Database:1847
Unique views:298
Comments:0

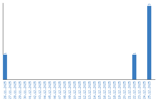
Viewing statistics by date