BusphotoBUSPHOTO

Picture Statistics

0 KB


Picture ID:366553
File Size:0 KB
Author:MIRVAN
Publication Date:23.01.2021 13:41 EET
Days in Database:1827
Unique views:231
Comments:0

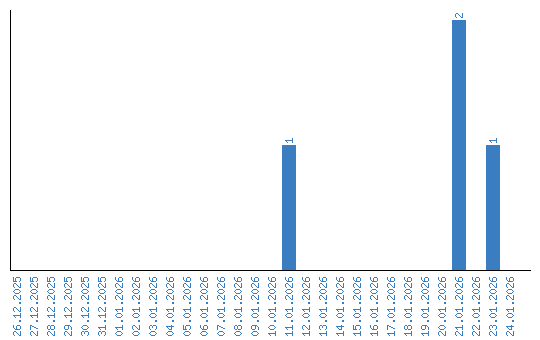
Viewing statistics by date