BusphotoBUSPHOTO

Picture Statistics

0 KB


Picture ID:366863
File Size:0 KB
Author:ToBen
Publication Date:24.01.2021 18:29 EET
Days in Database:1832
Unique views:210
Comments:0

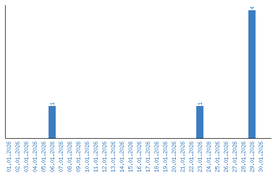
Viewing statistics by date