BusphotoBUSPHOTO

Statistika obrázku

0 kB


Identifikátor obrázku:367514
Velikost souboru:0 kB
Autor:alex26
Zveřejněno:28.01.2021 21:25 EET
Nachází se na stránkách (dní):1843
Jednotlivých zhlédnutí:423
Komentářů:0

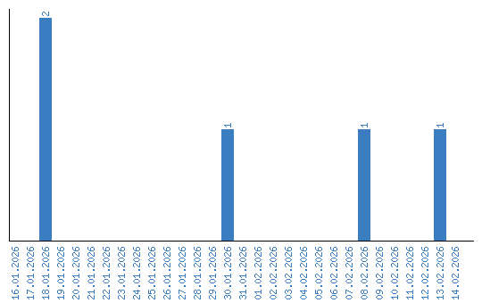
Zhlédnutí po jednotlivých dnech