BusphotoBUSPHOTO

Picture Statistics

0 KB


Picture ID:368543
File Size:0 KB
Author:Neons
Publication Date:04.02.2021 07:48 EET
Days in Database:1809
Unique views:322
Comments:0

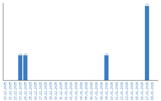
Viewing statistics by date