BusphotoBUSPHOTO

Picture Statistics

0 KB


Picture ID:368910
File Size:0 KB
Author:marqoos_pl
Publication Date:06.02.2021 11:02 EET
Days in Database:1783
Unique views:266
Comments:0

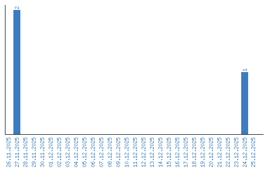
Viewing statistics by date