BusphotoBUSPHOTO

Statistiques d'images

0 KO


ID de l'image:370256
Taille du fichier:0 KO
Auteur:Lord Byron
Date de publication:14.02.2021 18:26 EET
Jours dans la base de données:1809
Vues uniques:412
Commentaires:0

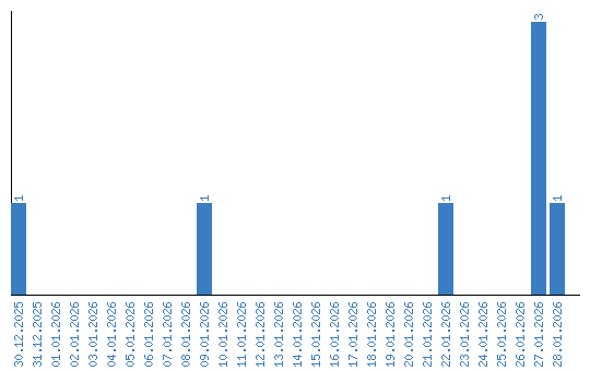
Affichage des statistiques par date