BusphotoBUSPHOTO

Picture Statistics

0 KB


Picture ID:371124
File Size:0 KB
Author:OnniL
Publication Date:19.02.2021 18:20 EET
Days in Database:1820
Unique views:258
Comments:0

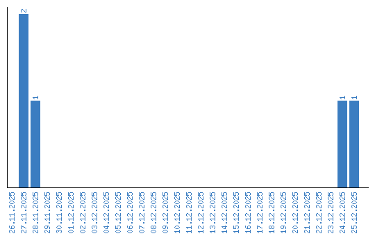
Viewing statistics by date