BusphotoBUSPHOTO

Picture Statistics

424 KB


Picture ID:37528
File Size:424 KB
Author:Алексей
Publication Date:13.05.2012 21:56 EET
Days in Database:4974
Unique views:148
Comments:0

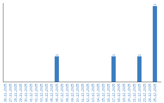
Viewing statistics by date