BusphotoBUSPHOTO

Nuotraukos informacija

273 Kb


Nuotraukos identifikatorius:375860
Bylos dydis:273 Kb
Autorius:Neons
Publikuota:20.03.2021 14:35 EET
Yra tinklapyje dienų:1759
Unikalių peržiūrų:339
Komentarų:0

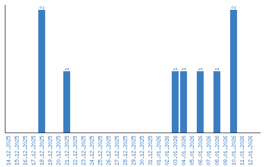
Peržiūrų dinamika pagal dienas