BusphotoBUSPHOTO

Picture Statistics

499 KB


Picture ID:379087
File Size:499 KB
Author:Bussmicke
Publication Date:11.04.2021 20:41 EET
Days in Database:1782
Unique views:253
Comments:0

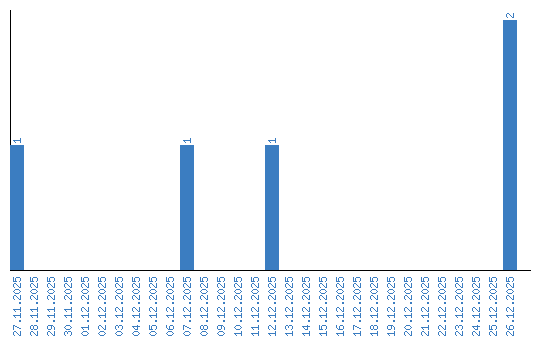
Viewing statistics by date