BusphotoBUSPHOTO

Picture Statistics

177 KB


Picture ID:379438
File Size:177 KB
Author:Bussmicke
Publication Date:14.04.2021 20:10 EET
Days in Database:1716
Unique views:216
Comments:0

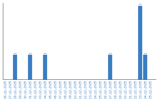
Viewing statistics by date