BusphotoBUSPHOTO

Picture Statistics

402 KB


Picture ID:379473
File Size:402 KB
Author:marqoos_pl
Publication Date:14.04.2021 22:58 EET
Days in Database:1773
Unique views:261
Comments:0

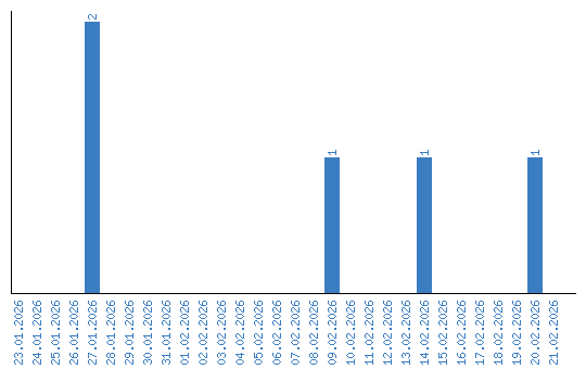
Viewing statistics by date