BusphotoBUSPHOTO

Picture Statistics

338 KB


Picture ID:379978
File Size:338 KB
Autorul:Артём Дмитренко
Publication Date:18.04.2021 17:27 EET
Days in Database:1760
Unique views:417
Comments:0

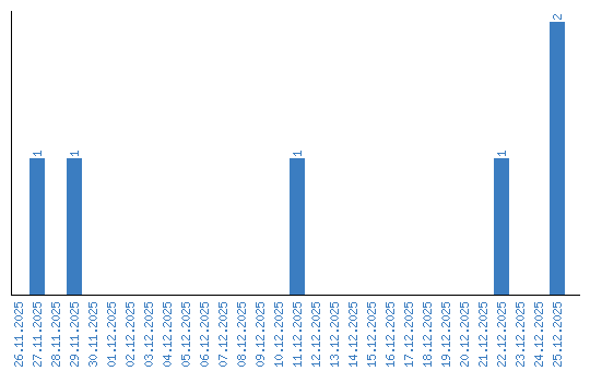
Viewing statistics by date