BusphotoBUSPHOTO

Picture Statistics

398 KB


Picture ID:380157
File Size:398 KB
Author:Światosław Neuhauz
Publication Date:20.04.2021 02:29 EET
Days in Database:1711
Unique views:447
Comments:0

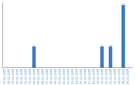
Viewing statistics by date