BusphotoBUSPHOTO

Picture Statistics

366 KB


Picture ID:380786
File Size:366 KB
Autorul:Brossel 8260
Publication Date:25.04.2021 13:41 EET
Days in Database:1742
Unique views:381
Comments:0

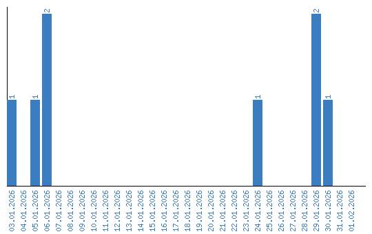
Viewing statistics by date