BusphotoBUSPHOTO.EU

Statystyki zdjęcia

979 kB


Identyfikator zdjęcia:382039
Rozmiar pliku:979 kB
Autor:Carton207M
Data publikacji:05.05.2021 01:28 EET
Liczba wyświetleń dzisiaj:1732
Łączna ilość wyświetleń:183
Komentarze:0

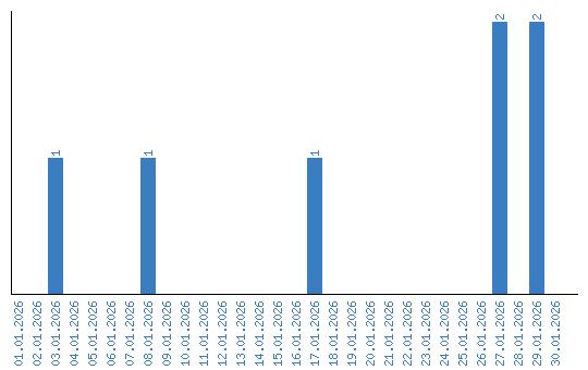
Liczba oglądających według dat