BusphotoBUSPHOTO

Picture Statistics

405 KB


Picture ID:383069
File Size:405 KB
Author:marqoos_pl
Publication Date:13.05.2021 22:59 EET
Days in Database:1737
Unique views:387
Comments:0

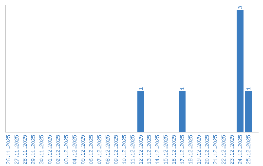
Viewing statistics by date